Bijlage bij LCI-richtlijn Legionellose

Inleiding

Dit stappenplan biedt de GGD praktische ondersteuning bij het uitvoeren van brononderzoek bij een patiënt of cluster met legionellose in Nederland. De te nemen stappen zijn samengevat in twee stroomschema’s. Vervolgens worden alle afzonderlijke stappen nader toegelicht.

In dit stappenplan is informatie opgenomen die specifiek geldt voor brononderzoek bij een geval of cluster van legionellose. Generieke informatie over de bestrijding van infectieziekten is te vinden in het Generieke draaiboek.

Daar waar handhaver staat kan ook toezichthouder gelezen worden.

Het doel van het brononderzoek legionellose is om verdere ziektegevallen te voorkomen en om inzicht te krijgen in bronnen van legionellapneumonie.

 

Stroomschema’s

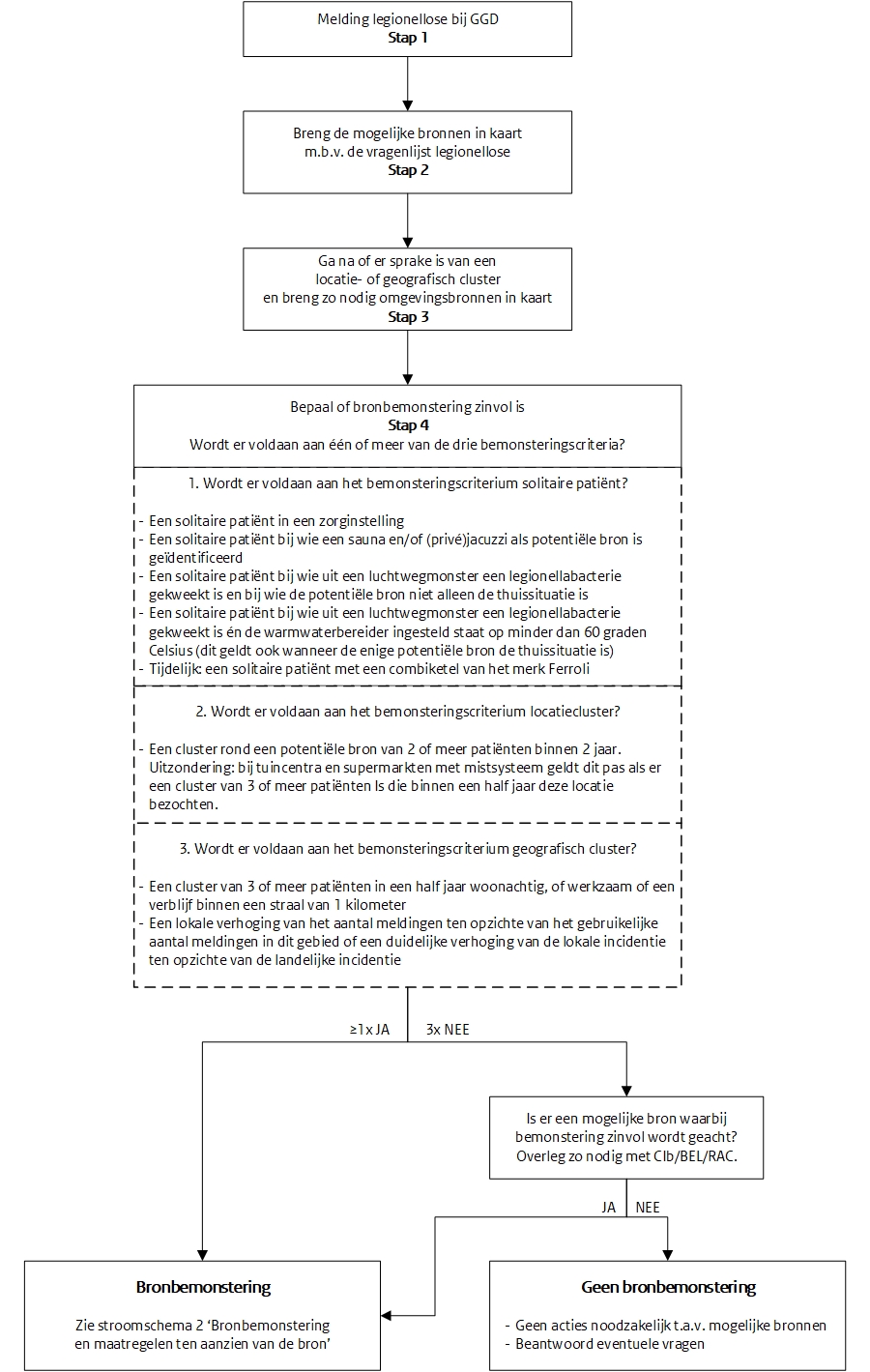
Stroomschema 1: Inventarisatie van bronnen en bepalen bronbemonstering

Weergave als stroomschema van de stappen 1 t/m 4 zoals besproken in dit document. Bij stap 4 zijn tevens aangegeven de (BEL-)criteria voor bemonstering van bronnen, zoals besproken in de LCI-richtlijn Legionellose

 

Stroomschema 2: Bronbemonstering en maatregelen ten aanzien van de bron

Weergave als stroomschema van de stappen 5 t/m 9 zoals besproken in dit document

NB. Doorloop voor iedere bemonsterde bron het stroomschema. Zie voor de te nemen maatregelen ten aanzien van de bron per uitkomst (9A-E) de toelichting op stap 9 in deze bijlage.

 

Toelichting op de stappen

Stap 1. Melding legionellose

  • Neem contact op met de behandelend arts.
    • Vraag of een kweek van een luchtwegmonster is ingezet en bespreek dat de kweek ook specifiek op Legionella ingezet moet worden. Dit is van belang voor het brononderzoek: het klinisch isolaat kan vergeleken worden met de stammen die mogelijk bij brononderzoek gevonden worden.
    • Vraag de behandelend arts of het mogelijk is om alsnog een sputumkweek af te nemen en specifiek in te zetten op Legionella als dit nog niet gedaan is. Ook als er reeds met antibiotica is gestart.
  • Vraag eventueel na bij het Medisch Microbiologisch Laboratorium (MML) of er een positieve kweek is, en zo ja: vraag het MML om het isolaat op te sturen naar het Streeklaboratorium Haarlem (BEL) voor verdere typering.

 

Stap 2. Inventariseer mogelijke bronnen (vragenlijst)

  • De GGD inventariseert waar en wanneer tijdens de incubatietijd mogelijke blootstelling aan de legionellabacterie heeft plaatsgevonden. Gebruik hiervoor de Vragenlijst legionellose.
  • Plan zo snel mogelijk een gesprek met de patiënt; indien mogelijk liefst samen met partner/ouders/verzorgers/familieleden. Als een interview met de patiënt niet mogelijk is, doe dit dan met de naasten van de patiënt (partner, ouders, verzorgers, familieleden).
    • Geef voorafgaand aan het gesprek op hoofdlijnen aan welke vragen er gesteld worden zodat de patiënt en/of diens naasten zich hierop kunnen voorbereiden.
    • Vraag ook om de agendagegevens van de 2 weken voorafgaand aan de eerste ziektedag bij de hand te hebben tijdens het gesprek.
    • Indien van toepassing: vraag de patiënt of naasten om de namen en adressen van hotels, campings en/of andere logiesverblijven, inclusief data van verblijf, alvast op te zoeken of eventueel door te geven via de mail. Bij een verblijf in een logies is het vanwege de internationale melding aan ECDC European Centre for Disease Prevention and Control (European Centre for Disease Prevention and Control )/ELDSNet (maar ook de nationale clusteropsporing) belangrijk om de juiste gegevens (naam logiesverblijf, adres, kamer- of huisjesnummer, website en telefoonnummer van verhuurder) en de exacte bezoekdata te achterhalen van alle logiesverblijven in binnen- en buitenland en deze in te vullen in Osiris. Zie voor verdere informatie de bijlage Internationale meldingen.
  • Voer het gesprek met patiënt en/of naasten en vul de Vragenlijst legionellose in. Geef in het gesprek ook aan dat het doel van een eventuele bemonstering is om te voorkomen dat meer mensen ziek worden.
  • Beantwoord eventuele vragen van patiënt en/of naasten. Hierbij kan verwezen worden naar de informatie over legionella op rivm.nl.
  • De GGD zoekt na of er in het verleden meldingen zijn ontvangen dat bij de geïnventariseerde locaties Legionella is aangetoond.
  • Registreer alle mogelijke bronnen in Osiris.

Toelichting: welke periode aanhouden voor het brononderzoek?

Voor het afnemen van de Vragenlijst legionellose worden de 14 dagen voor de eerste ziektedag (EZD), aangehouden. Mogelijke bronnen van blootstelling in de periode van 2 tot 10 dagen voor de eerste ziektedag zijn meer waarschijnlijk als bron dan potentiële bronnen in de periode van 11 tot 14 dagen. De EZD is de eerste dag met ziekteverschijnselen passend bij een klinische pneumonie, zich uitend in: 

  • koorts >38,5°C 
    en
  • hoesten en/of dyspneu.

Uitzondering: Bronnen in de periode langer dan 14 dagen voor eerste ziektedag zijn uitzonderlijk, en worden alleen bij een sterke verdenking meegenomen bij het brononderzoek en in Osiris toegevoegd (bijvoorbeeld meerdere patiënten gerelateerd aan één bron of een bubbelbad net buiten de periode van 14 dagen). Er kan dan overlegd worden met de LCI en/of BEL Bronopsporingseenheid legionellapneumonie (Bronopsporingseenheid legionellapneumonie).

 

Stap 3. Breng potentiële bronnen verder in kaart

Voor het verder in kaart brengen van de potentiële bronnen is het van belang dat de GGD op de hoogte is van omgevingsbronnen (afvalwaterzuiveringen, natte koeltorens) binnen de eigen regio. Hiervoor kan bijvoorbeeld bij de Omgevingsdienst een databestand op van de biologische afvalwaterzuiveringen worden opgevraagd.

  • Ga na of er sprake is van een epidemiologisch (locatie of geografisch) cluster. Er is sprake van een epidemiologisch cluster als meerdere mensen zijn blootgesteld aan dezelfde bron. Hierbij kan het gaan om een locatiecluster (meerdere mensen noemen een bezoek aan dezelfde locatie) of een geografisch cluster (clustering van mensen in een bepaald gebied). Gebruik bij het bepalen hiervan de criteria voor bemonstering van bronnen (zie stap4 en LCI-richtlijn) als leidraad.
  • Ga na in het lokale registratiesysteem na of er sprake is van een locatiecluster in de eigen regio. Dit kan bijvoorbeeld in HPzone door een context aan te maken/te koppelen. Ook kan contact opgenomen worden met BEL om met behulp van het LP-GIS locatieclusters te identificeren.
  • Ga in een geografisch informatiesysteem na of er sprake is van een geografisch cluster.
    • Gebruik bijvoorbeeld het landelijk registratiesysteem LP-GIS. De criteria voor bemonstering van bronnen (zie stap4 en LCI-richtlijn) dienen wederom als leidraad. 
      Het LP-GIS wordt beheerd door het CIb Centrum Infectieziektebestrijding (Centrum Infectieziektebestrijding ) en BEL. In dit systeem zijn de postcodegegevens opgenomen van de mogelijke bronnen die in Osiris zijn gemeld met de patiënten die hieraan zijn gerelateerd. Iedere GGD heeft toegang tot het LP-GIS met een eigen inlogcode, en kan daarmee de gegevens van de gerapporteerde patiënten en potentiële bronnen inzien en analyseren. Aanmelden kan door een mail te sturen naar legionella@streeklabhaarlem.nl.
    • Zoek de woon- en werklocatie van de patiënt op de nattekoeltorenkaart van de Atlas leefomgeving en/of je eigen geografisch informatiesysteem op om mogelijke omgevingsbronnen op te sporen.
    • Via Google Maps (satellietweergave) kunnen ook omgevingsbronnen worden gevonden, zoals beluchtingsbassins van afvalwaterzuiveringsinstallaties (en soms ook natte koeltorens die nog ontbreken in de nattekoeltorenkaart).
    • Neem bij een lokale verheffing contact op met de Omgevingsdienst voor actuele informatie over en het in kaart brengen van omgevingsbronnen.
    • Houd voor het zoeken naar potentiële omgevingsbronnen voor natte koeltorens een afstand van 2 kilometer aan en voor AWZI afvalwaterzuiveringsinstallatie (afvalwaterzuiveringsinstallatie)’s een afstand van 6 kilometer (RIVM 2019, 2024b). Aangezien er vaak weinig inwoners zijn nabij een industrieel terrein, is het mogelijk dat er binnen de eerste kilometer van een bron op industrieel terrein geen patiënten worden gezien.
  • Daarnaast voeren BEL en het CIb periodiek surveillance uit met behulp van het LP-GIS om locatie en geografische clusters (met name regio-overstijgend) op te sporen. De gegevens in LP-GIS worden dagelijks gevuld met de gegevens uit Osiris.
  • Het centrum Epidemiologie en Surveillance van Infectieziekten van het RIVM Rijksinstituut voor Volksgezondheid en Milieu (Rijksinstituut voor Volksgezondheid en Milieu ) kan bij clusters modellering doen ter ondersteuning van de bronopsporing. Neem hiervoor contact op met de LCI.

 

Stap 4. Bepaal of bronbemonstering zinvol is

  • Gebruik de criteria voor bemonstering van bronnen (BEL-criteria) om te bepalen of bemonstering van potentiële bron(nen) zinvol is (en gedeclareerd kan worden ten laste van het OGZ openbare gezondheidszorg (openbare gezondheidszorg)-budget). Deze criteria dienen opgevat te worden als leidraad waar zo nodig van afgeweken kan worden. De beoordeling blijft maatwerk. Bij twijfel kan laagdrempelig overlegd worden met BEL of de LCI.
  • Als er een locatiecluster is bij een logiesverblijf zijn aanvullende stappen nodig. Zie hiervoor de bijlage Internationale meldingen.
  • De GGD aan wie de patiënt gemeld is bepaalt of bronbemonstering zinvol is. Dit geldt ook voor mogelijke bronnen die buiten de regio liggen en waarbij bemonstering zinvol is bij een solitaire patiënt. Zoek in dit geval ook afstemming met de GGD waar de bron gelegen is.
  • Soms is ook in andere gevallen bemonstering van een potentiële bron van belang. De GGD kan dan overleggen met de RAC Regionaal Arts Consulent (Regionaal Arts Consulent )’er. Er wordt gezamenlijk gekeken of bemonstering zinvol is in het kader van de volksgezondheid. Als dit het geval is kan bemonstering via BEL plaatsvinden (en kan worden gedeclareerd ten laste van het OGZ-diagnostiek budget).
  • Ook BEL kan contact opnemen met de betreffende GGD als het op basis van surveillancedata zinvol lijkt om bronbemonstering uit te voeren.
  • Voor informatie die aan de patiënt of diens naasten gegeven kan worden als er geen brononderzoek plaatsvindt, zie: Bronbemonstering is niet zinvol of mogelijk.

Zie de LCI-richtlijn voor de criteria voor bemonstering van bronnen (BEL-criteria).

Onderbouwing bemonsteringscriteria

  • Bemonstering van potentiële bronnen die voldoen aan de BEL-criteria is in het belang van de volksgezondheid.
  • Bij solitaire patiënten met een positieve kweek heeft bemonstering ook een wetenschappelijk doel. Met een beschikbaar patiënt-isolaat ontstaat de mogelijkheid om dit isolaat genotypisch te vergelijken met omgevingsstammen uit potentiële bronnen waardoor er een genotypische match gemaakt kan worden. Op deze manier kan meer inzicht worden verkregen in (nieuwe) infectiebronnen van legionellapneumoniepatiënten. Dit kan ook bijdragen aan verbetering van het brononderzoek. Daarnaast kunnen de genotypische data van de beschikbare patiëntisolaten gebruikt worden om clusters van patiënten te identificeren die mogelijk een gemeenschappelijke bron hebben (bijvoorbeeld bij een uitbraak door AWZI’s of door het plaatsen van besmette cv-ketels).
  • Er zijn landelijke (en internationale) initiatieven om in het kader van energiebesparing de temperatuur te verlagen van warmwaterbereiders. Ook zijn er warmwaterbereiders die de temperatuur van 60°C niet halen (bijvoorbeeld warmtepomp). Uit buitenlandse studies blijkt dat dit tot een significante toename kan leiden van zowel het aantal positieve bemonsteringen als ook de concentratie Legionella (RIVM 2024a, b, Uldum 2022, van der Wielen 2021). Hierdoor neemt de kans op blootstelling aan Legionella toe. Door te bemonsteren bij huizen waar de warmwaterbereider staat ingesteld op minder dan 60°C en er een isolaat beschikbaar is, wordt informatie verzamelt over risico’s van een bredere en structurele verlaging van de temperatuur.
  • Sauna's en jacuzzi's blijken vaak positief te zijn voor Legionella. Meer dan 80% van de bemonsterde sauna’s en bijna de helft van de bemonsterde jacuzzi’s in de periode 2011-2016 waren positief voor Legionella (Euser 2018). Daarom is bemonstering ook aangewezen bij een solitaire patiënt indien deze een sauna en/of jacuzzi heeft bezocht in de incubatieperiode. Het in de directe nabijheid van een jacuzzi verkeren is al voldoende om een jacuzzi als potentiële bron te beschouwen. Het is dus niet noodzakelijk dat de patiënt zelf de jacuzzi heeft gebruikt.
  • Bij locatieclusters is het criterium aangepast voor supermarkten met een mistsysteem en tuincentra op basis van de bemonsteringsresultaten van de afgelopen periode (2002-2022), waarbij deze brontypes relatief vaak bemonsterd zijn, maar zelden tot nooit positief werden bevonden (Den Boer 2016, RIVM 2024b).
  • Het criterium voor een geografisch cluster is dusdanig gekozen dat er op basis van de gehanteerde definitie laagdrempelig overleg kan plaatsvinden tussen GGD, LCI en BEL om te bepalen of bemonstering van potentiële bron(nen) in de specifieke clustersituatie zinvol wordt geacht (en welke potentiële bronnen daarbij prioriteit zouden moeten krijgen).
  • De transmissieafstand van natte koeltorens is meestal beperkt tot 1 à 2 kilometer. Bij AWZI-uitbraken zijn transmissieafstanden tot zeker 6 kilometer waargenomen; de hoogste attack rate (meeste patiënten per aantal inwoners) wordt meestal binnen 3 kilometer gezien (RIVM 2019, 2024b). Vooral AWZI’s kunnen over een lange periode leiden tot een lichte verhoging van het aantal patiënten, waardoor dit lastiger herkenbaar is als een uitbraak.
  • In 2022-2024 was er een cluster van patiënten met een legionellapneumonie gerelateerd aan een bepaald type cv-ketels van het merk Ferroli (zie de actualiteiten over legionella in Nederland op rivm.nl). Momenteel geldt er nog een waarschuwing vanuit de toezichthouder ten aanzien van dit type cv-ketels (zie de veiligheidswaarschuwing op nvwa.nl). Zodra de toezichthouder heeft aangegeven dat de maatregelen voldoende zijn geïmplementeerd zal dit tijdelijke criterium heroverwogen worden.

Bronbemonstering is niet zinvol of mogelijk

  • Informeer de patiënt (of diens naasten als de patiënt is overleden of niet aanspreekbaar is) waarom er geen bemonstering plaatsvindt.
  • Bij vragen over het risico voor besmetting thuis kan de GGD ervoor kiezen om tips te geven over de vernevelende waterinstallaties die thuis worden gebruikt, zoals de douches en apneu-apparatuur. Zie hiervoor de informatie over legionella op rivm.nl. Benadruk hierbij dat deze adviezen uit voorzorg worden gegeven en dat onduidelijk is of de patiënt thuis ziek is geworden. Ook kan niet worden gegarandeerd dat de waterinstallaties door de geadviseerde maatregelen ‘legionellavrij’ worden en blijven.

 

Stap 5. Bronbemonstering

  • De monstername wordt uitgevoerd door de monsternemer van BEL, in aanwezigheid van een GGD-medewerker en waar mogelijk in aanwezigheid van de handhaver/toezichthouder. Zie hiervoor het Overzicht handhaving en toezicht per waterinstallatie.
  • Indien de te bemonsteren bron zich buiten de eigen GGD-regio bevindt (maar wel in Nederland), informeert de GGD waar de patiënt gemeld is de GGD waar de bron gelegen is. Ze stemmen onderling af over de uitvoering en opvolging van de bemonstering.
  • Neem contact op met BEL om de bemonstering aan te vragen en verschillende opties voor bemonsteringsdata te ontvangen. BEL is bereikbaar via het Streeklaboratorium Haarlem, tel. 023-5307839 of 06-50615196 (buiten kantooruren), e-mail: legionella@streeklabhaarlem.nl.
  • Neem contact op met de locatie(s) voor het maken van een afspraak. Neem hierbij contact op met de juridisch verantwoordelijke persoon of een vertegenwoordiger daarvan.
  • Stem met BEL af welke zaken er geregeld moeten zijn voor de bemonsteringsafspraak (bijvoorbeeld jacuzzi moet leeg zijn) en geef dit door aan de locatie.
  • Lever de benodigde gegevens aan bij BEL. BEL verstrekt een korte vragenlijst aan de GGD waarin alle relevante gegevens voor de bemonstering (planning, locatiegegevens, contactgegevens GGD-medewerker, formele toestemming) worden ingevuld door de GGD.
  • Informeer vóór de bemonstering de handhaver (of een vertegenwoordiger namens de handhaver zoals een toezichthouder) indien de te bemonsteren waterinstallatie valt onder ‘legionellapreventie-regelgeving’. Zie hiervoor het Overzicht handhaving en toezicht per waterinstallatie. Vraag de handhaver om aanwezig te zijn bij de bemonstering.
  • Houd bij het bezoek van de locatie rekening met de geldende ARBO Arbeidsomstandigheden (Arbeidsomstandigheden)-regels (zie ook Preventieve maatregelen op het werk).

 

Stap 6. Schat in of er direct maatregelen nodig zijn

Maak op basis van de verzamelde gegevens een eerste inschatting of er maatregelen genomen kunnen of moeten worden direct na de bemonstering en in afwachting van de kweken en de uitslag hiervan.

Waterinstallaties die vallen onder legionellaregelgeving

  • Als de handhaver/toezichthouder aanwezig is tijdens de bemonstering kan de handhaver direct passende maatregelen opleggen bijvoorbeeld als het beheer niet voldoet aan de regelgeving. Neem contact op met de handhaver als deze niet aanwezig was bij de bemonstering.
  • Zijn er meerdere patiënten in korte tijd die blootstelling aan waterverneveling op dezelfde locatie noemen? Overleg binnen de GGD en eventueel de LCI wanneer er sterke verdenkingen zijn dat een waterinstallatie de bron is van een uitbraak of cluster. In afwachting van de uitslag kan de verneveling van de bron direct worden gestopt op last van de handhaver.

Waterinstallaties die niet vallen onder legionellaregelgeving

Voorbeelden: fonteinen, mistmachines, CPAP, bubbelbad dat niet valt onder het Besluit activiteiten leefomgeving.

  • Zijn er aanwijzingen dat er geen of slecht onderhoud wordt uitgevoerd? Is de waterinstallatie zichtbaar vuil? Adviseer de eigenaar om de waterinstallatie na de bemonstering te reinigen en zo nodig of indien mogelijk te desinfecteren.
  • Adviseer om waterinstallaties die niet noodzakelijk zijn voor essentiële (bedrijfs)processen, en waarvan het vermoeden bestaat dat ze een waarschijnlijke bron zijn, niet te gebruiken of niet te laten vernevelen totdat de uitslag van de bemonstering bekend is (bijvoorbeeld bubbelbad of fontein tijdelijk niet aanzetten).
  • Als er een sterk vermoeden is dat de bron de oorzaak is van een cluster/uitbraak en de eigenaar de bron niet wil uitzetten dan kan dit worden afgedwongen op last van de burgemeester (Wpg).
  • Geef preventieadviezen zoals het uitvoeren van regulier onderhoud.

Zie voor meer informatie over de verschillende waterinstallaties het GGD-draaiboek Melding van legionellabacteriën in water.

 

Stap 7. Uitslag bronbemonstering

Afgenomen (water)monsters worden gedurende een week op kweek gezet, waarmee in principe alle Legionella species aangetoond kunnen worden. Van afgenomen watermonsters wordt ook de detectielimiet (KVE/L) bepaald. De detectielimiet is een stuk hoger in monsters met relatief vuil water (bijvoorbeeld van een afvalwaterzuivering). Daarnaast kunnen er in een monster meerdere legionellastammen aanwezig zijn. Hierdoor is het mogelijk dat een virulente stam die in lage concentratie aanwezig is, gemist wordt bij bemonstering wanneer een hoge concentratie van een andere legionellastam aanwezig is.

Voorlopige positieve resultaten worden door BEL doorgegeven aan de betrokken GGD’en (telefonisch of per e-mail). De eindresultaten van de analyse van de afgenomen (water)monsters worden na 7 tot 10 dagen gerapporteerd aan de betrokken GGD’en via een elektronisch rapport (per e-mail). Het is aan de GGD om deze resultaten met anderen (eigenaren, bewoners) te delen (zie ook stap 9).

Op het eindrapport van de bemonsteringsresultaten wordt per monster aangegeven of er Legionella is aangetroffen, welk species (L. pneumophila, L. non-pneumophila het betreft, en met welke concentratie (kolonievormende eenheden (KVE)/liter (L)). Op het verzamelrapport staat een overzicht van alle geanalyseerde monsters; daarna volgt per monster een deelrapport met gedetailleerde informatie over de analyse per monster (o.a. de detectielimiet (de minimaal aantoonbare concentratie)).

Alle bij bemonstering gevonden L. pneumophila-isolaten worden in het Streeklab Haarlem getypeerd via core genome multilocus sequence typing (cgMLST), waaruit ook het sequentie type op basis van 7 ‘huishoudgenen’ (ST-type) wordt afgeleid. Deze genotyperingen volgen circa 1 tot 2 weken na de bemonsteringsuitslag, waarna een aangevuld eindrapport aan de betrokken GGD’en wordt verstuurd.

Declaratie kosten

De bemonsteringsfactuur van BEL kan worden gedeclareerd ten laste van het OGZ-diagnostiek budget (zolang het budget niet uitgeput is) als de bemonstering zinvol is geacht in het kader van de volksgezondheid.

 

Stap 8. Bepaal of de bemonsterde bron een waarschijnlijke bron is

Bepaal op basis van epidemiologische gegevens en bemonsteringsuitslagen of de bemonsterde bron een waarschijnlijke bron is. Deze beoordeling is maatwerk. Hieronder staan een aantal voorbeelden die een handvat bieden bij de beoordeling. Bij twijfel kan laagdrempelig overlegd worden met BEL of de LCI.

Een waarschijnlijke bron kan bijvoorbeeld zijn:

  • een bron waarbij het Legionella-isolaat van de bemonstering genetisch niet te onderscheiden is van het patiënt-isolaat van een of meer patiënten (=match);
  • een bron waar bij bemonstering Legionella wordt gevonden van hetzelfde species en, als bekend, dezelfde serogroep als bij de patiënt is vastgesteld. Dit geldt alleen als er geen andere mogelijke bronnen zijn gevonden. Bijvoorbeeld: een patiënt die tijdens de hele incubatieperiode thuis is geweest;
  • een bron van een geografisch of locatiecluster, en waar bij bemonstering Legionella wordt gevonden van hetzelfde species en, als bekend, dezelfde serogroep als bij de patiënt is vastgesteld;
  • een bron van een geografisch of locatiecluster, waarbij geen klinisch isolaat beschikbaar is, of waarbij geen overeenkomstige Legionella species of serogroep werd aangetoond, maar de bron toch als waarschijnlijk kan worden geacht. Bijvoorbeeld: door sterke epidemiologische aanwijzingen, resultaten van modellering en/of microbiologische uitslagen.

 

Stap 9. Neem zo nodig maatregelen ter preventie van verdere ziektegevallen

In deze stap worden de te nemen acties ten aanzien van de bemonsterde potentiële bron besproken. Hierbij is het van belang of er in de bemonsterde bron Legionella is aangetoond en of de bron een waarschijnlijke bron is of niet. Daarnaast is het voor de maatregelen van belang of de bemonsterde bron valt onder legionellaregelgeving (zie hiervoor het Overzicht handhaving en toezicht per waterinstallatie).

Bepaal aan de hand van de volgende drie vragen welke paragraaf (9A-E) geraadpleegd moet worden (dit kan ook door het tweede stroomschema te doorlopen):

  • Is er in de bemonsterde bron Legionella aangetoond?
  • Is de bemonsterde bron een waarschijnlijke bron?
  • Valt de bemonsterde bron onder regelgeving voor legionellapreventie?

Let op: de monstername is een momentopname. Hierdoor kan het zijn dat er geen Legionella wordt aangetoond. Bijvoorbeeld doordat er geen stukje biofilm (waar Legionella zich meestal bevindt) is meegekomen bij de monstername. Ook kan de uitslag negatief blijven doordat er voor de bemonstering al maatregelen werden genomen of als niet alle mogelijk relevante punten bemonsterd konden worden. Overweeg vervolgstappen als er ondanks een negatieve uitslag van de bemonstering sterke aanwijzingen zijn dat de bemonsterde bron de waarschijnlijke bron is op basis van epidemiologische informatie. Overleg als dit voorkomt laagdrempelig met de LCI.

9A Waarschijnlijke bron, valt onder legionellaregelgeving

9A Waarschijnlijke bron, valt onder legionellaregelgeving

Voor deze bronnen is er een handhaver aanwezig die maatregelen kan opleggen. Voorbeelden: leidingwaterinstallatie van een ziekenhuis of hotel, natte koeltoren of bubbelbad in een zwembadcomplex.

Bepaal binnen het team IZB infectieziektebestrijding (infectieziektebestrijding ) (en zo nodig met de collega’s van THZ technische hygiënezorg (technische hygiënezorg ), MMK medische milieukunde (medische milieukunde) en/of afdeling communicatie) welke acties nodig zijn ten aanzien van communicatie en maatregelen. Denk hierbij aan:

  • Communicatie en organisatie:
    • Informeer de eigenaar en de handhaver van de bemonsterde bron waar Legionella is aangetoond over de uitslag.
    • De patiënt (of diens naasten) kan (kunnen) alleen geïnformeerd worden over de uitslag van de monsters die thuis genomen zijn. Uitslagen van andere bemonsterde bronnen kunnen alleen gedeeld worden als de eigenaar van deze bron(nen) hiervoor toestemming geeft. De informatie uit een eventueel persbericht wordt uiteraard wel gedeeld.
    • Is op de hoogte stellen van burgemeester en wethouder (gemeente) nodig?
    • Wie moet er verder worden geïnformeerd over de uitslag en de maatregelen? Is er bijvoorbeeld een persbericht nodig vanwege verspreiding in de omgeving of kunnen mensen persoonlijk worden geïnformeerd? Zie voor adviezen het hoofdstuk Communicatie.
    • Is het gezondheidsrisico of de onrust zo hoog dat een lokaal OMT Outbreak Management Team (Outbreak Management Team ) moet worden georganiseerd?
  • Maatregelen:
    • Overleg met de handhaver ten aanzien van de maatregelen. Adviseer aan de handhaver om maatregelen te nemen zodat de waterinstallatie geen Legionella meer kan verspreiden.
    • De handhaver legt de maatregelen op die moeten worden genomen om de pathogene legionellastam te verwijderen en/of om blootstelling naar de omgeving te beperken. Ook ziet de handhaver erop toe dat wordt bepaald hoe een vervolg kan worden voorkomen (via aanpassing risicoanalyse en beheersplan). Geef niet zelf advies bij deze waterinstallaties omdat dat niet de expertise en verantwoordelijkheid van de GGD Gemeentelijke gezondheidsdienst (Gemeentelijke gezondheidsdienst ) is. Ook voorkomt dit tegenstrijdige maatregelen. Wel is het van belang dat de GGD zich ervan vergewist dat de maatregelen zijn genomen en dat bij een herbemonstering (na minimaal 7 dagen) geen Legionella meer is aangetoond. Neem hiervoor contact op met de handhaver.

9B Waarschijnlijke bron, valt niet onder legionellaregelgeving

9B Waarschijnlijke bron, valt niet onder legionellaregelgeving

Voor deze bronnen is er geen handhaver aanwezig die maatregelen kan opleggen. Voorbeelden: fontein op het plein, terrasvernevelaar, mistmachine, vernevelend waterkunstwerk, privé-bubbelbad.

Bepaal binnen het team IZB infectieziektebestrijding (infectieziektebestrijding ) (en zo nodig met de collega’s van THZ technische hygiënezorg (technische hygiënezorg ), MMK medische milieukunde (medische milieukunde) en/of afdeling communicatie) welke acties nodig zijn ten aanzien van communicatie en maatregelen. Denk hierbij aan:

  • Communicatie en organisatie:
    • Informeer de eigenaar van de bemonsterde bron waar Legionella is aangetoond over de uitslag.
    • Afhankelijk van de situatie, bijvoorbeeld als er weinig medewerking is van de eigenaar van de waarschijnlijke bron, kan het nodig zijn te bepalen wie de handhaver is op basis van zorgplicht of algemene regelgeving (zie hiervoor het Overzicht handhaving en toezicht per waterinstallatie). Voor waterinstallaties/-apparaten kan dit de NVWA Nederlandse Voedsel- en Warenautoriteit (Nederlandse Voedsel- en Warenautoriteit ) zijn, voor werknemers de Arbeidsinspectie en voor schepen de ILT Inspectie Leefomgeving en Transport (Inspectie Leefomgeving en Transport). Uiteindelijk kan de gemeente verantwoordelijk zijn (op basis van Wpg Wet publieke gezondheid (Wet publieke gezondheid ) of Apv). Bepaal of het wenselijk is contact op te nemen met de handhaver. Vooral bij een cluster kan het goed zijn om met de handhaver contact op te nemen. Bij een regio-overstijgend cluster is ook het RIVM Rijksinstituut voor Volksgezondheid en Milieu (Rijksinstituut voor Volksgezondheid en Milieu ) betrokken.
    • De patiënt (of diens naasten) kan (kunnen) alleen geïnformeerd worden over de uitslag van de monsters die thuis genomen zijn. Uitslagen van andere bemonsterde bronnen kunnen alleen gedeeld worden als de eigenaar van deze bron(nen) hiervoor toestemming geeft. De informatie uit een eventueel persbericht wordt uiteraard wel gedeeld.
    • Is op de hoogte stellen van burgemeester en wethouder (gemeente) nodig?
    • Wie moet er verder worden geïnformeerd over de uitslag en de maatregelen? Is bijvoorbeeld een persbericht nodig vanwege verspreiding in de omgeving of kunnen mensen persoonlijk worden geïnformeerd? Zie verder het hoofdstuk Communicatie.
    • Is het gezondheidsrisico of de onrust zo hoog dat een lokaal OMT Outbreak Management Team (Outbreak Management Team ) moet worden georganiseerd?
  • Adviezen die de GGD Gemeentelijke gezondheidsdienst (Gemeentelijke gezondheidsdienst ) aan de eigenaar van de waterinstallatie kan geven om de bron te elimineren. Hiervoor kan laagdrempelig met de LCI Landelijke Coördinatie Infectieziektebestrijding (Landelijke Coördinatie Infectieziektebestrijding ) worden overlegd:
    • Zorg dat de waterinstallatie geen Legionella meer kan verspreiden totdat reiniging en desinfectie heeft plaatsgevonden. Bijvoorbeeld door de waterinstallatie/-apparaat buiten gebruik te stellen, tijdelijk een legionelladouchefilter te gebruiken of ervoor te zorgen dat de installatie niet meer vernevelt (bijvoorbeeld bubbelbad niet aanzetten of douchekop eraf halen).
    • Reinig en desinfecteer de waterinstallatie. Volg voor de desinfectie en onderhoud de handleiding van de producent. Neem contact op met de producent van de waterinstallatie als er geen instructie is opgenomen voor desinfectie. Is er geen producent bekend of kennis over desinfectie ontbreekt: de eigenaar kan worden geadviseerd een deskundig bedrijf in te huren die deze werkzaamheden uitvoert. Er kan ook laagdrempelig met de LCI worden overlegd.
    • Laat na minimaal 7 dagen een herbemonstering uitvoeren.
    • Overleg zo nodig met de handhaver of aanvullende maatregelen nodig zijn of opgelegd moeten worden. Dit is onder meer van toepassing bij een regio-overstijgend cluster of als er geen medewerking is van de eigenaar van de waarschijnlijke bron.
    • De GGD dient zich ervan te vergewissen dat de juiste maatregelen worden genomen om blootstelling aan pathogene legionellabacteriën te voorkomen. De GGD hoeft hierbij niet op de hoogte te zijn van alle technische specificaties van de waterinstallatie. Wel is het van belang dat de GGD beoordeelt of er maatregelen zijn genomen waarmee legionellabiofilm wordt verwijderd of geïnactiveerd (reiniging en desinfectie).
    • De GGD dient zich ervan te vergewissen dat de eigenaar bepaalt of laat bepalen waardoor de legionellagroei heeft kunnen plaatsvinden en effectieve maatregelen neemt om deze groei te voorkomen of zo veel mogelijk te beheersen. Voorbeelden (afhankelijk van type waterinstallatie of -apparaat):
      • Oudere flexibele slangen en andere rubber of plastic onderdelen zijn vervangen voor nieuwe onderdelen.
      • Opwarming in de zon van tuinslangen of watervernevelende apparatuur (bijvoorbeeld hogedrukreiniger) wordt zoveel mogelijk voorkomen.
      • Waterinstallatie/-apparaat wordt vlak voor gebruik gevuld. Na gebruik wordt het apparaat/reservoir geleegd en zo mogelijk gedroogd.
      • Apparaten waarmee fijne verneveling plaatsvindt en (vrijwel) direct blootstelling mogelijk is worden gevuld met gekookt of gedestilleerd water, bijvoorbeeld apneu-apparatuur en mobiele luchtbevochtigers.
      • Apparaten worden alleen gevuld met koud water (mits het koude water ook echt koud is; <20°C) of met water van ≥60°C (let op verbranding; alleen als mensen hier niet direct mee in contact komen).
      • De vernevelende waterinstallatie of -apparaat wordt periodiek gereinigd en gedesinfecteerd.
      • Er wordt continu een geschikt en toegelaten desinfectiemiddel toegevoegd aan het water (alleen als dit voor de waterinstallatie mogelijk is!).
      • Voor de thuissituatie is ook online informatie beschikbaar. Zie hiervoor de informatie over legionella op rivm.nl.

9C Niet-waarschijnlijke bron, valt onder legionellaregelgeving, Legionella aangetoond

9C Niet-waarschijnlijke bron, valt onder legionellaregelgeving, Legionella aangetoond

  • Was er voor de monstername contact met de handhaver? Informeer de handhaver dat de bemonsterde bron niet een waarschijnlijke bron is maar dat er wel Legionella is aangetoond.
  • Informeer de eigenaar van de bemonsterde bron waar Legionella is aangetoond over de uitslag. Verzoek de eigenaar de uitslag te melden bij de handhaver als er vooraf geen contact was met de handhaver (ILT of OD; zie het Overzicht handhaving en toezicht per waterinstallatie).
  • De handhaver bepaalt of en welke acties de eigenaar van de installatie moet uitvoeren. De GGD Gemeentelijke gezondheidsdienst (Gemeentelijke gezondheidsdienst ) hoeft zich er niet van te vergewissen of de (correcte) maatregelen zijn genomen.
  • De patiënt (of diens naasten) kan (kunnen) alleen geïnformeerd worden over de uitslag van de monsters die thuis genomen zijn. Uitslagen van andere bemonsterde bronnen kunnen alleen gedeeld worden als de eigenaar van deze bron(nen) hiervoor toestemming geeft.

9D Niet-waarschijnlijke bron, valt niet onder legionellaregelgeving, Legionella aangetoond

9D Niet-waarschijnlijke bron, valt niet onder legionellaregelgeving, Legionella aangetoond

  • Informeer de eigenaar van de bemonsterde bron waar Legionella is aangetoond over de uitslag. In principe is communicatie naar derden over de uitslag niet nodig (zie ook het hoofdstuk Communicatie).
  • Maatregelen zijn in principe vanuit volksgezondheidsrisico niet nodig. Indien de eigenaar maatregelen wil nemen kan het GGD-draaiboek Melding van legionellabacteriën in water worden gebruikt voor het geven van advies. De GGD hoeft zich er niet van te vergewissen of de (correcte) maatregelen zijn genomen.
  • De patiënt (of diens naasten) kan (kunnen) alleen geïnformeerd worden over de uitslag van de monsters die thuis genomen zijn. Uitslagen van andere bemonsterde bronnen kunnen alleen gedeeld worden als de eigenaar van deze bron(nen) hiervoor toestemming geeft.
  • Bij vragen van de patiënt (of diens naasten) over het risico voor besmetting thuis kan de GGD ervoor kiezen om tips te geven over de vernevelende waterinstallaties die thuis worden gebruikt, zoals de douches en apneu-apparatuur. Zie hiervoor de informatie over legionella op rivm.nl. Benadruk hierbij dat deze adviezen uit voorzorg worden gegeven en dat onduidelijk is of de patiënt thuis ziek is geworden. Ook kan niet worden gegarandeerd dat de waterinstallaties door de geadviseerde maatregelen ‘legionellavrij’ worden en blijven.

9E Geen Legionella aangetoond

9E Niet-waarschijnlijke bron, geen Legionella aangetoond

  • Informeer de eigenaar van de bemonsterde bron over de uitslag.
  • Informeer de patiënt (of diens naasten) alleen over de uitslag van de eigen bemonsterde bron(nen). Uitslagen van andere bemonsterde bronnen kunnen alleen gedeeld worden als de eigenaar van deze bron(nen) hiervoor toestemming geeft.
  • Bij vragen van de patiënt (of diens naasten) over het risico voor besmetting thuis kan de GGD Gemeentelijke gezondheidsdienst (Gemeentelijke gezondheidsdienst ) ervoor kiezen tips te geven over de vernevelende waterinstallaties die thuis worden gebruikt, zoals de douches en apneu-apparatuur. Zie hiervoor de informatie over legionella op rivm.nl. Benadruk hierbij dat deze adviezen uit voorzorg worden gegeven en dat onduidelijk is of de patiënt thuis ziek is geworden. Ook kan niet worden gegarandeerd dat de waterinstallaties door de geadviseerde maatregelen ‘legionellavrij’ worden en blijven.

Overzicht handhaving en toezicht per waterinstallatie

Tabel: Overzicht handhaver en toezichthouder per type waterinstallatie en verantwoordelijkheid voor handhaving en toezicht op het uitvoeren van legionellapreventie. Bron: Aangepast van GGD-draaiboek Melding van legionellabacteriën in water
* Voor een overzicht van prioritaire locaties zie: Wat moet ik als eigenaar van een bedrijf doen om legionellabesmettingen te voorkomen?
WaterinstallatieHandhaver en toezichthouder
in het kader van legionellapreventie
Contact voor GGD bij melding patiënt
Leidingwaterinstallaties gebouwen – prioritair* (zoals ziekenhuizen, verpleeghuizen, hotels, zwembaden, asielzoekers­centrum)Handhaver en toezichthouder= ILT
 
Controles: drinkwaterbedrijven
ILT (via ILT-loket)
Leidingwaterinstallaties gebouwen – niet-prioritair (zoals sporthallen, kantoren, scholen, bed-and-breakfastlocaties waar maximaal 5 personen kunnen verblijven)Geen handhaver en toezichthouderILT (via ILT-loket) of Bouw- en woningtoezicht
 
NVWA Nederlandse Voedsel- en Warenautoriteit (Nederlandse Voedsel- en Warenautoriteit ) voor apparaten zoals cv-installatie
Tijdelijk aangelegde leiding­water­installaties (zoals douche-units evenementen)Geen handhaver en toezichthouder
 
Of: BOA/GGD indien gemandateerd door de gemeente
B&W (Wpg)
Leidingwater schepen (Nederlandse vlag)Voor werknemers: handhaver= Arbeidsinspectie (Sociale zaken en Werkgelegenheid), toezichthouder= ILT/scheepvaart
 
Voor passagiers: geen handhaver en toezichthouder
Voor werknemers: ILT/scheepvaart
 
Voor passagiers: B&W (Wpg), al dan niet via GGD inspecteur Ship sanitation
Badwaterbassin (waterkerende constructie geschikt om in te baden) (zoals bubbelbad in zwembad, sauna en wellness)Handhaver en toezichthouder= provincie of OD/RUD Omgevingsdienst/Regionale uitvoeringsdienst (Omgevingsdienst/Regionale uitvoeringsdienst)Provincie; voor ongeveer de helft van de provincies is de OD of RUD het contact
Tijdelijk geplaatste (vernevelende) badwaterbassins langer dan 24 uur (bijvoorbeeld op evenement)Handhaver en toezichthouder= provincie of OD/RUDProvincie; voor ongeveer de helft van de provincies is de OD of RUD het contact
Tijdelijk geplaatste (vernevelende) baden, korter dan 24 uur geplaatst of niet bedoeld om in te baden (zoals tentoongestelde whirlpool of voetenbad)Geen handhaver en toezichthouderB&W (Wpg)
Natte koeltorensHandhaver= meestal OD/RUDOD of RUD
Afvalwaterzuiveringsinstallaties (AWZI’s)Handhaver= meestal OD/RUDOD of RUD
Blootstelling werknemers tijdens werkzaamheden (bijvoorbeeld luchtbevochtiging in kantoor, gebruik hogedrukspuit, verneveling proceswater). Let op: locaties waar vooral bezoekers risico lopen vallen hier niet onder. Ook water­installaties die niet direct met de werkzaamheden te maken hebben (bijvoorbeeld een fontein in de lobby van een bedrijf) vallen hier mogelijk niet onderHandhaver= Arbeidsinspectie NL (NB. geen actief toezicht)
 
Voor schepen: ILT/scheepvaart (NB. geen actief toezicht)
Arbeidsinspectie
Alle overige waterinstallaties (zoals mistsystemen bij groenteafdeling supermarkten, bubbelbad in privé- of logiesverblijf of voor passagiers op rijncruise, apneuapparaten en fontein in hotellobby)Geen handhaver en toezichthouderVoor werknemers: Arbeidsinspectie
 
Product: NVWA (indien het product zelf de bron is en het niet door verkeerd gebruik van het product komt)
 
Voor bezoekers/ passanten: B&W (Wpg)

 

Communicatie

Wanneer communiceren naar derden?

Anders dan naar patiënt, eigenaar waterinstallatie en handhaver:

  • Als de waterinstallatie een waarschijnlijke bron (niet zijnde thuisomgeving) of locatiecluster is.
  • Als bewoners/bezoekers/passanten/werknemers op de hoogte zijn dat de waterinstallatie Legionella bevat en er hierdoor onrust is of veel vragen zijn.
  • Als voor bezoekers/bewoners zichtbaar of merkbaar handelingen worden verricht om de verhoogde concentratie Legionella te verlagen. Bijvoorbeeld het afsluiten van tappunten en het nemen van desinfectiemaatregelen. Adviseer de eigenaar om, indien mogelijk, de maatregelen uit te voeren als er geen bezoekers of bewoners aanwezig zijn.

Hoe kunnen mensen worden geïnformeerd?

Kies er bij voorkeur voor om mensen persoonlijk te informeren.

Het persoonlijk informeren is echter niet altijd mogelijk. Het kan bijvoorbeeld onduidelijk zijn wie is blootgesteld aan de waternevel (bijvoorbeeld omdat het een openbaar zwembad betreft). In dat geval kan een brief op een centrale plek opgehangen worden op de locatie. Als maatregelen worden uitgevoerd om de Legionella uit het systeem te verwijderen én bezoekers daarmee worden geconfronteerd, dan kan de brief worden opgehangen bij de plek waar de maatregelen plaatsvinden.

Tot slot zijn er waterinstallaties die in de omgeving vernevelen en mensen tot op kilometers kunnen besmetten, zoals natte koeltorens en afvalwaterzuiveringsinstallaties. Als blijkt dat een dergelijke waterinstallatie een waarschijnlijke bron is, dan kan het noodzakelijk zijn de informatie via een persbericht te versturen. Het persbericht kan worden verstuurd door de eigenaar van de waterinstallatie nadat de inhoud is afgestemd met het bevoegd gezag en de GGD. Als de eigenaar van de waterinstallatie geen persbericht wil versturen, kan tussen het bevoegd gezag en de GGD overlegd worden wie het persbericht verstuurt. De GGD kan contact opnemen met de LCI Landelijke Coördinatie Infectieziektebestrijding (Landelijke Coördinatie Infectieziektebestrijding ) voor advies. Onderhoudsmedewerkers van koeltorens of afvalwaterzuiveringsinstallaties kunnen persoonlijk worden geïnformeerd. Overweeg om huisartsen en medisch specialisten in de regio te informeren en wijs op het belang van diagnostiek, adequate behandeling en snel melden.

In andere gevallen is geen persbericht noodzakelijk.

 

Begrippenlijst

BegripToelichting
AWZIAfvalwaterzuiveringsinstallatie. Een installatie die afvalwater zuivert door middel van mechanische, biologische, en/of chemische processen. Dit kunnen industriële waterzuiveringsinstallaties (IWZI) of rioolwaterzuiveringsinstallaties (RWZI) zijn.
BELBronopsporingseenheid legionellapneumonie. Nationaal referentielaboratorium voor Legionella gevestigd te Streeklab Haarlem. Op verzoek van GGD’en bemonstert BEL Bronopsporingseenheid legionellapneumonie (Bronopsporingseenheid legionellapneumonie) bij potentiële bronnen, analyseert de watermonsters en ondersteunt bij het brononderzoek.
Besluit activiteiten leefomgeving (Bal)Besluit dat valt onder de Omgevingswet. Hierin zijn regels voor legionellapreventie opgenomen voor natte koeltorens en badwaterbassins (wetten.nl - Regeling - Besluit activiteiten leefomgeving - BWBR0041330)
ClusterOngewoon aantal patiënten binnen een bepaalde tijd en/of regio
HandhaverEen overheidsinstantie die waarschuwingen kan geven en sancties kan opleggen als de eisen voor legionellapreventie niet goed worden nageleefd
KVE/LKolonievormende eenheden per liter. Door uitgroei van legionellabacteriën op een voedingsbodem ontstaan koloniën van deze bacteriën. Door deze koloniën te tellen en terug te rekenen hoeveel van het watermonster is aangebracht op de voedingsbodem kan het aantal KVE/L worden bepaald.
Logiesverblijf/ (verblijfs)accommodatieEen overnachtingsverblijf/(verblijfs)accommodatie dat voor commerciële verhuur aan derden wordt aangeboden zoals een hotel, camping, bungalow maar ook een commercieel verhuurde woning (voor kortdurend verblijf) via een verhuurwebsite (zoals Airbnb).
LP-GISLegionellapneumonie geografisch informatiesysteem; landelijk informatiesysteem, beheerd door CIb Centrum Infectieziektebestrijding (Centrum Infectieziektebestrijding ) en BEL, dat kan ondersteunen bij het opsporen van clusters en uitbraken. In het systeem zijn de postcodegegevens opgenomen van de mogelijke bronnen met de patiënten die hieraan zijn gerelateerd.
OD/RUDOmgevingsdienst/Regionale uitvoeringsdienst. Toezichthouder en soms ook handhaver namens gemeente en provincie op gebied van milieuregelgeving (Wet milieubeheer en onderliggende Activiteitenbesluit en -regeling). Voor de meeste regio’s worden deze taken uitgevoerd door de Omgevingsdienst maar soms worden dit Regionale uitvoeringsdiensten genoemd. Sommige omgevingsdiensten houden ook namens de provincie toezicht op de naleving van eisen voor badinrichtingen (Besluit hygiëne en veiligheid van zwemgelegenheden en badinrichtingen).
Potentiële bronEen bron die in beeld is gekomen tijdens het brononderzoek met behulp van de vragen aan de patiënt en/of door het in kaart brengen van de omgevingsbronnen.
ST/SBTSequence (based) typing. Manier om op DNA-niveau een onderscheid te maken binnen één bacteriesoort naar genotypisch profiel (ST-type). Alle Legionella pneumophila-isolaten worden middels NGS-techniek op een Illumina platform gesequenct. De genotypisch analyse vindt plaats op basis van sequence based Typing (SBT), middels MLST multi-locus sequence typing (multi-locus sequence typing )-analyse op 7 huishoud genen. Indien gewenst kan er een cgMLST worden uitgevoerd.
ToezichthouderInstantie die namens de handhaver aangewezen is om toezicht te houden op de naleving van de legionella(preventie)regelgeving.

 

Referenties